毎日がアプリディ 何年生まれの人が何歳なのかすぐわかる「和暦年齢早見表」マイナビニュース。
卯年 年齢 (201 無料画像)
卯年 うさぎどし の性格干支別の意味・特徴・年齢・相性うらなえる無料占い・今日の運勢。
統計局ホームページ 統計トピックスNo.134 1 卯 う 年生まれの人口は997万人。
統計局ホームページ 統計トピックスNo.49 1 卯 う 年生まれの人口は1008万人。
BASIC COVER うさぎ 卯 動物 卯年 アニマル 干支 十二支 誕生日 Tシャツ プレゼント 男性 女性 14歳 26歳 38歳 50歳62歳 74歳 86歳 98歳 兎 家族 友人 1501 1500 085 : BASIC COVER ギフト - 通販 - Yahoo!ショッピング。
未来の干支一覧現在から先の未来の干支を確認できます干支がわかる。
毎日がアプリディ 何年生まれの人が何歳なのかすぐわかる「和暦年齢早見表」マイナビニュース。
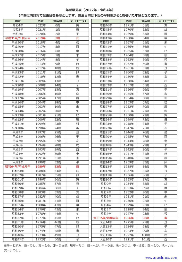
年齢早見表2022年版 西暦でも和暦でも簡単にチェックできる!-AraChina中国旅行。
2023年は卯年!性格や特徴、相性の良い干支は? 干支別性格心理学– おたより本舗の 教えて!年賀状。
統計局ホームページ 統計トピックスNo.49 1 卯 う 年生まれの人口は1008万人。
早わかり!西暦・和暦・年齢・干支一覧表。
卯年 うどし 」生まれは「997万人」。一番多いのは「1975年」生まれ - シニアガイド。
2023年は「卯 うさぎ 年」! うさぎの寿命や人気の品種・名前を大調査アニコム損害保険株式会社のプレスリリース。
2025年版年齢早見表と西暦和暦干支早見表、一覧を無料で紹介ツギノジダイ。
うさぎ年 卯年 生まれの性格はどんな?干支の守護ご本尊でミラクル運気アップ。
2024年 うさぎ年 卯年 生まれの運勢 干支 えと 占い 四柱推命・手相・易占・姓名判断・風水福岡占いの館 対面鑑定の宝琉館 ほうりゅう館。
還暦とは?何歳?意味・由来まとめ長寿祝い基礎知識。
卯年・うどし・うさぎ年」生まれの「令和6年・2024年」の年齢。
厄年についての重要な注意事項 - 陸奥国八戸総鎮守 法霊山龗神社ブログ。
卯年生まれの県民15万人 十二支別で4番目の少なさ社会,県内主要下野新聞デジタルニュース下野新聞デジタル。
今年の年号及び年齢早見表マッキー歯科医院の気まぐれ日記帳 旭川市。
卯年干支がわかる 順番・性格・相性・早見表 便利サイト。
卯年 兎年 干支占い: 2026年運勢、年齢、性格、愛。
2023年はうさぎ 卯 年!うさぎ年はどんな年?うさぎ年の人の性格は?気になること調べてみた – 株式会社モンテローザ。
午年 うまどし 生まれの性格干支別に特徴や年齢、相性を解説 水晶玉子 陰陽艶花占。
卯年 うさぎ年 生まれの性格と相性 干支占い- zired。
2023年は卯年!卯年生まれの年齢、性格、相性および2024年の運勢をまとめて紹介!-Arachina中国旅行会社。
早わかり!西暦・和暦・年齢・干支一覧表。
2023年は卯年!性格や特徴、相性の良い干支は? 干支別性格心理学– おたより本舗の 教えて!年賀状。
令和5年 2023年 癸卯 玉兎・小兎の性質を持つ うさぎ年星祭 厄除け やくよけ ・厄払い 厄祓い・やくばらい~運気向上のお祈り~ ⑪年齢別の運勢 厄災男女共通の巻 ~人生の転換期、分岐点、運命の分かれ道~真言宗 醍醐派 大津三十八不動尊の。
一層の活躍期待!「卯年」に創業は11万6434社ニュースイッチ by 日刊工業新聞社。
2023年今年の干支の「卯」とはどんな意味が。運勢や性格、相性は - 気になる話題・おすすめ情報館。
卯年 うさぎ年 生まれの性格や特徴や相性 年齢早見表付きmicane無料占い。
2021年 うさぎ年 卯年 生まれの運勢 干支 えと 占い福岡占いの館 対面鑑定の宝琉館 ほうりゅう館。
1939生まれ、今年86歳の暦・年齢・干支・一覧表プラチナワイン。
卯年・うどし・うさぎ年」生まれの「天保12年・1841年」の年齢。
2023年は卯年!卯年生まれの年齢、性格、相性および2024年の運勢をまとめて紹介!-Arachina中国旅行会社。
来年の干支は何でしょう? 🔻フォローミー🔻 @oooohara00 さて、来年の干支は何でしょうか 年賀状を見れば来年の干支が何かはすぐわかりますね 2022年は寅年、2023年は卯年ですね 大人になると年齢の代わりに 干支を言う方もいらっしゃいますが普段生活していると。
辰年 たつどし の性格干支別の意味・特徴・年齢・相性うらなえる無料占い・今日の運勢。
年齢早見表 2021年版マニュクロ。
年齢早見表聖至会。
令和5年度 2023年度他 学年ごとの年齢早見表!生年月日 干支対応 - だんらんナビ。
年齢早見表 – 2025年 令和7年 最新版 – 西暦 和暦 干支 Excel PDFダウンロード年齢ドットコム。
和暦・西暦 年齢・干支 早見表 2021年版カレンダーのちえふくろうSTORE BLOGCalendia。
2023年・令和5年・卯 う 年生まれの年齢早見表を無料ダウンロードExcel・Word基礎講座とテンプレート。